[an error occurred while processing this directive]
Massey logo
Home > College of Sciences > Institute of Fundamental Sciences >
Maths First > Online Maths Help > Algebra > Rational Functions > Addition Subtraction
SEARCH
MASSEY
MathsFirst logo College of Science Brandstrip
[an error occurred while processing this directive]

 

Rational Functions

Addition/Subtraction

Addition and subtraction of fractions with the same denominator is easy. Just add or subtract the numerators.

and

Example

2 over (x plus 1)minus x over (x plus 1) equals (2 minus x) over (x plus 1)

More Examples

Exercise

Enter the answer numerator and denominator on the right hand side.



=

 

 

In general, we multiply the denominators of two given fractions and use it as a common denominator:

and

Example

More Examples

Exercise

Enter the new numerator and denominator on the right hand side.



=

 

 

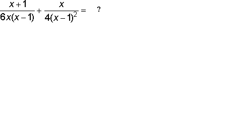
When the denominators of two given fractions have a common factor, we could use a common denominator with smaller degree; namely the LCM.

Example

Exercise

Simplify the rational functions.



=


 

 

<< Equivalent Rational Functions | Rational Functions Index | Multiplication of Rational Functions >>

 

   Contact Us | About Massey University | Sitemap | Disclaimer | Last updated: November 21, 2012     © Massey University 2003