The product rule states:
|
The Product Rule If f and g are differentiable at x
|
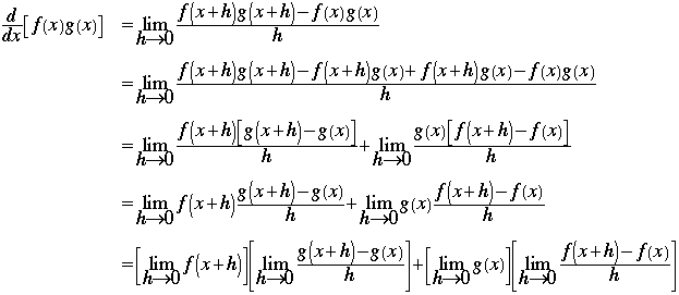
By the definition of the derivative

By the definition of the derivative

f is differentiable at x and therefore continuous at x.
Hence
![]()
The limit of a constant is the value of the constant. As there is no h
in g(x), we can treat g(x) as a constant
when finding its limit as h tends to zero. So
![]()
Using each of the above facts we then obtain:
![]()
which is the product rule.