Make L the subject of the Pendulum formula:

Operations required for calculating T from L:

Reversing the above (Click on the question marks to view the inverse operations):
|
||||||
![]() ![]() ![]() |
||||||
Make x the subject of the formula:
![]()
Expanding and simplifying:
![]()
Operations required for calculating the LHS from x:
![]()
Reversing the above (Click on the question marks to view the inverse operations):
|
|
||||||
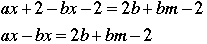
Make x the subject of the formula:
![]()
Expanding the RHS:
![]()
Subtracting bx from both sides and simplifying:
![]()
Subtracting 2 from both sides and simplifying:
![]()
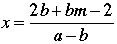
Factorizing the LHS for x:
![]()
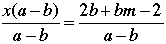
Dividing both sides by (a - b) and simplifying:
![]()
Simplifying, we get
Make x the subject of the formula:
![]()
Operations required for calculating y from x:

Reversing the above (Click on the question marks to view the inverse operations):
|
|
||||||
![]() |
||||||
|
|
||||||
![]() ![]() |
||||||
Make r the subject of the formula:
,
where r>0.
Operations required for calculating F from r:

Reversing the above (Click on the question marks to view the inverse operations):
|
|
||||||
![]() |
||||||