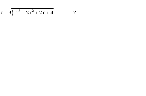
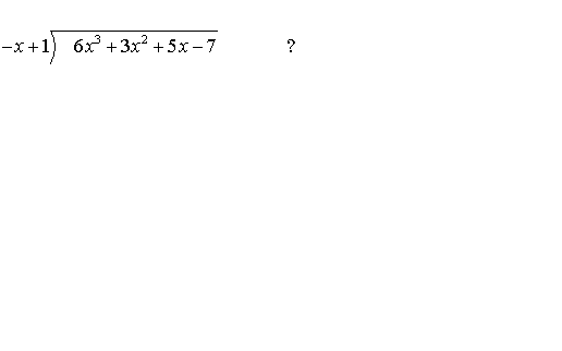
More Polynomial Division Examples

Divide each of the following polynomials. Click on the question marks to see the solutions step-by-step.

 















Close